| fisica |
|
|||||
|
FISICA TECNICA
Sezione A : Trasmissione del calore
N°1 - CONDUZIONE
La trasmissione del calore in un corpo può avvenire solamente se la temperatura all'interno di questo non è uniforme ma varia nel tempo e da punto a punto (cioè se esistono nel suo interno dei gradienti termici non nulli) : in questo caso si dice che il corpo è sede di un campo termico.
Il luogo dei punti che , ad un certo istante , hanno la stessa temperatura costituisce una superficie isotermica e l'andamento del campo termico è descritto dall'insieme di queste superfici isotermiche.
Le traiettorie secondo cui si ha la trasmissione del calore si chiamano linee di flusso e si dimostra che queste sono in ogni punto ortogonali alle sup. isot. ; infatti se così non fosse , queste traiettorie avrebbero una componente tangenziale non nulla , parallela alla sup. isot. , il che significa che si avrebbe trasmissione di calore lungo tale sup. ma questo è impossibile le linee di flusso non possono che essere normali alle superfici isotermiche.
Se si considera all'interno di un campo termico una linea chiusa e le linee di flusso corrispondenti a ciascun punto della linea chiusa , si ottiene quello che viene definito tubo di flusso , ovvero una superficie che non è attraversata da calore , che può quindi soltanto passare tra le sue sezioni estreme.
Lo studio della trasmissione del calore per conduzione si basa sul postulato di Fourier , il quale a suo volta prende spunto dai risultati sperimentali della trasmissione del calore attraverso una parete piana.
Si consideri una lastra piana di materiale omogeneo e isotropo di spessore D n le cui facce si trovano alle temperature T e T+D T , sperimentalmente si osserva che la quantità di calore trasmesso dall'una all'altra faccia è direttamente proporzionale alla differenza di temperatura , alla sup. della faccia piana , al tempo di esposizione e ad un coefficiente caratteristico del materiale detto conducibilità termica e inversamente proporzionale allo spessore della lastra ; considerando un intervallo di tempo D t
D Q = -l 
dove il segno meno indica che il passaggio avviene nel senso delle temperature decrescenti.
La suddetta relazione posta in termini infinitesimi assume la forma :
dQ = -l
che
esprime il postulato di Fourier , ovvero la quantità di calore dQ che
nel tempo infinitesimo dt passa attraverso la sup. infinitesima dS è proporzionale a dt , dS e al gradiente
termico
lungo
la direzione normale al D S.
Il coefficiente l , la conduttività termica è una caratteristica del materiale di cui è fatto il corpo ed esprime la q.tà di calore trasmessa tra due superfici isoterme di area unitaria e poste a distanza unitaria e ad una differenza di temperatura unitaria nell'unità di tempo.
Trattandosi di un postulato , quello di Fourier non può essere dimostrato , tuttavia la sua validità è provata sperimentalmente , ma relazioni più precise sono espresse dall'equazione di Fourier che da esso viene dedotta.
b) equazione di Fourier in geometria cilindrica
L'equazione di Fourier è una relazione che esprime il
modo in cui il calore trasmesso in un dato intervallo di tempo ad un volume
infinitesimo del corpo in esame ne fa variare la temperatura , ed è
nella sua forma originale un'equazione differenziale del secondo ordine alle
derivate parziali così definita : D
dove D è il coefficiente di diffusività termica del materiale.
Si consideri un tubo cilindrico , infinitamente lungo
costituito da due superfici cilindriche coassiali ; l'andamento della temperatura
è radiale , cioè T
T(r,t ) e anche lo sviluppo
interno di calore se c'è , è radiale , H
H(r,t
Dato un elemento infinitesimo di tale tubo di raggio r e spessore dr e lunghezza unitaria , vediamo come si trasmette il calore all'interno :
il calore che esce dalla prima superficie è dQ![]()
p rdt ![]()
;
quello che entra nella seconda è dQ
=
- l p (r+dr)dt
;
e quello eventualmente sviluppato all'interno è dQH = HdVdt p rdrHdt
quindi in totale dQ = dQ
-
dQ
+
dQ
;
dQ = -2p rl dt ![]()
+
l p rdt ![]()
+
2p rl
dr
+ 2l p drdt ![]()
+
2l p dr![]()
dt p rdrHdt ; trascurando il
termine 2l p dr![]()
dt si ottiene :
dQ = 2l p
drdt
+
2p rdrHdt
Il calore trattenuto nell'elemento di volume ne fa variare la temperatura secondo la legge dQ = mg dT (legge fondamentale della calorimetria) dove in questo caso m = 2p rdrr , con r densità del materiale.
Quindi si ottiene 2l p drdt
+
2p rdrHdt p rdrr g dT ;
da cui l
+
H = r g
;
che è l'equazione di Fourier in geometria cilindrica con
sviluppo interno di calore .
Questa equazione non è facilmente integrabile e necessita di condizioni al contorno di tipo spaziale e temporale ; tuttavia un caso particolare molto interessante che può essere facilmente integrato è quando non si ha sviluppo di calore interno e il regime è stazionario.
In questo caso l'equazione è
=
0 .
Date due superfici cilindriche coassiali di raggi r
e
r
poste alle temperature costanti T
e
T
(superfici isotermiche) , l'integrale generale dell'equazione è T(r) = c
ln
r + c
; e ponendo

si
ottiene c
=
;
e c
=
T
-
ln
r
.
Quindi l'integrale particolare sarà T(r) =
ln
r + T
-
ln
r
.
N° 2 - CONDUZIONE
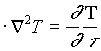
L'equazione di Fourier esprime come la quantità di calore trasmessa in un elemento di volume di un campo termico ne modifica la temperatura .
Dato un elemento infinitesimo del campo termico di volume dv avente forma di parallelepipedo con facce parallele agli assi di un sistema di riferimento sectiunesiano Oxyz , di spigoli dx , dy , dz .
Si supponga che il flusso termico si componga di tre parti rispettivamente parallele agli assi coordinati.
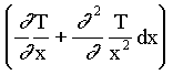
Il calore che si trasmette lungo l'asse x dipende dal calore
entrante in una faccia normale all'asse x e da quello uscente dall'altra faccia
parallela alla prima ; dQ
=
dQ
-
dQ
dove dQ
=
-l dydzdt
e
dQ
=
-l dydzdt
sono
calcolati in base al Postulato di Fourier e dQ
indica
il calore che rimane nell'elemento dv cioè dQ
=l dydzdt
=
l dvdt
.
Ragionando in modo analogo per le altre coppie di facce si ottiene l'espressione della quantità di calore complessivamente rimasta nell'elemento :
dQ = l dvdt
.
Tale quantità di calore , per il teorema fondamentale della calorimetria fa variare la temperatura nel corpo secondo la legge dQ = mg dT essendo m = r dv si ottiene
l dvdt
=
r dvg dT , o meglio (l r g )
=![]()
dove l r g prende il nome di diffusività termica D.
Tale equazione può poi essere scritta nella forma
sintetica D
ed è detta eq. di Fourier .
Nel caso in cui nel corpo considerato sia presente una sorgente di calore , questa deve essere considerata nell'equazione di Fourier , detta H la potenza del calore sviluppato dalla sorgente si ha
D
che è la forma generale dell'equazione .
L'integrale di questa eq. fornisce l'andamento della temperatura all'interno del campo termico ; ma essendo questa un'eq. differenziale del secondo ordine alle derivate parziali risulta abbastanza difficile integrarla.
Tuttavia se si fanno delle restrizioni a casi particolari si
può trovare la forma esplicita dell'andamento della temperatura ; ad
esempio se si considera un regime stazionario , le temperature non dipendono
dal tempo e
=
0 e se non ci sono sorgenti interne di calore si ha
nella
quale non compaiono caratteristiche specifiche del campo .
Se il corpo considerato è omogeneo e isotropo i valori di l g e r sono considerati costanti ; ma se tale ipotesi cade allora questi parametri dipendono dalle coordinate e soprattutto dalla temperatura complicando notevolmente la trattazione analitica del problema.
N°4 - CONDUZIONE
Si consideri una parete delimitata da due superfici piane , costituita da materiale omogeneo e isotropo ; sia s lo spessore della parete e le superfici limite si trovino a temperature diverse T1 e T2 ; se le superfici sono infinitamente estese rispetto allo spessore s , le superfici isotermiche sono allora dei piani ad esse paralleli e il calore si trasmette in direzione normale .
Conviene allora utilizzare come riferimento un asse x orientato secondo la direzione della trasmissione del calore e dunque è 0<x<s e l'origine è posta sulla faccia a temperatura più elevata .
Trascurando le fughe trasversali di calore , supponendo
assenti le sorgenti interne di calore e ponendoci in regime stazionario ,
l'equazione di Fourier in questo caso diventa
=
0 che ha come integrale generale T(x) = k1x + k2 .
I valori delle costanti di integrazione si determinano tramite le condizioni al limite che sono :
quindi
da
cui si ottiene 
e l'integrale particolare è T(x) =
;
che esprime l'andamento della temperatura in una parete piana omogenea .
Il calore si trasmette nel senso delle temperature decrescenti ; infatti è T1>T2 e la temperatura decresce linearmente all'interno della parete in funzione della distanza dalla faccia in cui entra il calore .
N°5 - CONDUZIONE
Si consideri una parete di materiale omogeneo e isotropo delimitata da due superfici piane a distanza s tra loro poste alle temperature T1 e T2 ; se le superfici sono infinitamente estese rispetto lo spessore , le superfici isotermiche sono piani paralleli ad esse e la trasmissione del calore è in direzione normale .
Conviene allora considerare come riferimento un asse x parallelo alla direzione di proazione del calore con l'origine posta sulla faccia a temperatura maggiore , così che il calore si prohi nel verso delle x crescenti .
Supponiamo di essere in regime stazionario e che lo sviluppo interno di calore sia distribuito uniformemente e indipendente dal tempo , ovvero sia H una costante .
L'equazione di Fourier in questo caso è l
+
H = 0 o meglio
+
=
0
che ha come integrale generale T(x) = -(H/2l )x2 + c1x
+ c2 con x
;
le costanti di integrazione sono determinate dalle condizioni ai limiti
quindi


e l'integrale particolare diventa T(x) = -(H/2l )x2 + (T2 - T1 + Hs2/2l )x/s + T1
oppure T(x) = T1 -
x +
(s - x)x
che esprime meglio l'origine dei contributi ; infatti il
termine T1 -
x
è quello che si avrebbe comunque anche senza sviluppo interno di calore
(H = 0) ed è lineare , mentre il contributo della sorgente interna
è
(s
- x)x ed ha l'andamento di una parabola con massimo in x = s/2 .
A causa dello sviluppo interno di calore il flusso termico si
trasmette non solo nel verso delle temperature decrescenti , ma anche in senso
opposto se tale sviluppo prevale sulla differenza tra le temperature . Infatti
il flusso relativo alla prima faccia è q1 = -l
;
e quello relativo alla seconda è q2 = -l
;
quindi il flusso è sempre uscente dalla seconda faccia
, mentre nella prima faccia può anche essere lo stesso uscente se l
.
p.s.: H è la quantità di calore sviluppato per unità di volume e tempo: dQH = Hdvdt
N°6 - CONVENZIONE
La trasmissione del calore per conone si ha quando almeno uno dei corpi coinvolti è un fluido; nei fluidi se la temperatura non è uniforme anche la densità varia da punto a punto e si generano così delle correnti di movimento all'interno del fluido dette correnti convettive che portano a contatto le varie parti del corpo a temperature diverse provocandone la miscelazione e quindi trattenendo calore. Se le correnti di movimento sono generate da fenomeni interni la conone è detta naturale , se invece sono dovute a cause diverse come i fenomeni meccanici allora si parla di conone forzata.
Il fenomeno della conone è un fenomeno molto complesso poiché dipende da diversi fattori e il suo studio si basa soprattutto su dati sperimentali correlati attraverso il metodo dell'analisi dimensionale. Vediamo come si può schematizzare il comportamento dei fluidi : consideriamo un corpo solido a contatto con una massa fluida; la maggior parte della differenza di temperatura si trova in prossimità della superficie di separazione tra i due mezzi, come se ci fosse un sottile strato di fluido aderente al corpo solido e quasi immobile nel quale il calore viene trasmesso per conduzione.
Questo strato viene detto strato limite e dipende dalle caratteristiche del fluido in particolare dalla sua viscosità; il suo spessore è direttamente proporzionale alla viscosità del fluido e inversamente proporzionale alla radice quadrata della velocità. Nel restante fluido il moto è di carattere turbolento .
Il flusso termico uscente dal corpo solido attraversa prima lo strato limite trasmettendo calore per conduzione poi passa nel restante fluido, dove il moto è turbolento e il calore si trasmette tramite i moti convettivi. Una relazione generale che esprime questo fenomeno è la seguente q = hcA(T1 -T2)
dalla quale si vede che il flusso termico uscente da una superficie A del corpo solido è proporzionale alla differenza tra le temperature e ad un fattore hc detto fattore di conone; il problema principale consiste dunque nella determinazione di hc.
Il fattore di conone dipende essenzialmente da parametri caratteristici del fluido e dalle condizioni del moto secondo una relazione funzionale che può essere così definita: hc= hc(l g r a; v; m q ; l) dove l è la conducibilità termica, g il calore specifico, r la densità, a il coefficiente di dilatazione termica, v la velocità, m la viscosità, q la differenza di temperatura, l le dimensioni che caratterizzano la geometria del sistema; questa relazione vale per qualsiasi tipo di conone.
Da un punto di vista qualitativo si possono fare le seguenti considerazioni: la conducibilità termica influenza la trasmissione del calore nello strato limite in cui si ha il fenomeno della conduzione ma oltre questo strato il moto è turbolento e il calore trasferito viene a dipendere dal calore specifico g e dalla densità r (infatti è dq = g dm = g r dv); l'ampiezza dello strato limite dipende dalla viscosità m del fluido e da essa dipende quindi anche la quantità di calore trasmesso perché maggiore è la viscosità minore è la quantità di calore trasmesso.
Per quanto riguarda la dipendenza di hc dalla velocità e dalla temperatura si osservi che la prima interviene solo nel caso di conone forzata, mentre nel caso della conone naturale essa è solo una conseguenza della trasmissione del calore cioè dal fatto che l'elemento di fluido scaldandosi si dilata e tende a salire verso l'alto con un moto ascensionale indotto e la velocità è quindi dipendente dalla dilatazione termica a e le forze che determinano il moto sono dipendenti dalla differenza tra le temperature q
Si vede subiti che una relazione specifica che determini il valore di hc è difficile da trovare, tuttavia questo problema può essere risolto tramite l'analisi dimensionale e si trova che il fattore di conone può essere espresso tramite quattro parametri adimensionali; i numeri di Nusselt, di Prandtl, di Grashof e di Reynolds opportunamente combinati tra loro.
Quando un fenomeno fisico è particolarmente complesso, come la conone, è difficile darne un'interpretazione quantitativa perché esso è influenzato da troppi fattori; così ad esempio il fattore di conone hc è funzione di otto parametri geometrici, termici e meccanici ma non si sa bene come sono legati tra loro.
In generale la grandezze fisiche che intervengono in un fenomeno non sono tra loro tutte indipendenti, ma alcune possono essere correlate tra loro; le grandezze indipendenti dalle altre sono dette fondamentali e le altre sono dette derivate: l'analisi dimensionale è quella che cerca di esprimere le relazioni tra le varie grandezze. IL metodo dell'analisi dimensionale si basa sul teorema di Buckingam secondo il quale ogni legge fisica può essere rappresentata tramite un numero k di parametri adimensionali dato dalla differenza tra il numero n delle grandezze che intervengono a determinala e il numero m delle grandezze fondamentali scelte per definirla; inoltre ogni grandezza deve ire almeno in uno dei parametri adimensionali e questi non devono essere indipendenti tra loro.
In questo modo il numero delle incognite del sistema è minore con k = n - m e k è tanto minore quanto minore è il numero delle variabili fisiche che si fanno intervenire e quanto maggiore quello delle grandezze fondamentali, quindi è bene ridurre n considerando solo le grandezze che influiscono pesantemente tralasciando quelle il cui effetto è secondario, mentre si può aumentare m considerando (se è possibile) fondamentale qualche grandezza che in realtà non lo è; ad esempio nel caso del fattore hc le grandezze fondamentali sarebbero 4: lunghezza, massa, tempo e temperatura ma tuttavia anche il calore Q può essere considerato una grandezza fondamentale e pertanto si ha m = 5.
I parametri, essendo adimensionali assumono valori diversi a seconda dei casi, quindi il fenomeno in questione non dipende direttamente calle n grandezze che intervengono, ma dalle k = n - m relazioni che le legano tra loro.
Un metodo per determinare i parametri e il metodo degli indici; ogni parametro è dato dal prodotto delle n grandezze ciascuno elevato ad un esponente incognito secondo la definizione di gruppo, e poiché deve essere adimensionale è necessario che gli esponenti siano identicamente nulli; dalle relazioni tra gli esponenti si ottiene un sistema lineare che una volta risolto dà l'espressione del parametro adimensionale.
Nel caso della conone le grandezze da considerare sono n =
9 e quelle fondamentali sono m = 5 per cui i parametri da ricercare sono 4 e
quelli comunemente usati sono: il numero di Nusselt Nu =
;
il numero di Reynolds Re =
;
il numero di Prandtl Pr =
;
e il numero di Grashof Gr =
;
e la relazione che esprime la conone è Nu = f (Pr;Re;Gr)
o meglio Nu = k Pra Reb Grg dove k;a b g sono ricavati
sperimentalmente.
N°7 - CONVEZIONE
In linea generale il flusso termico uscente da una superficie solida di area A a contatto con un fluido è dato da q = hcA(T1 - T2) ovvero dipende dall'area, dalla differenza tra le temperature e da un coefficiente detto fattore di conone hc.
Il problema principale dello studio della conone consiste nel determinare l'espressione di hc il quale è funzione di numerosi parametri quali la conduttività termica l , la densità r , la viscosità m , la velocità v il calore specifici g , la differenza di temperatura q , il coefficiente di dilatazione termica a e la dimensione l che definisce la geometria del sistema: si ha dunque hc= hc(l g r a; v; m q ; l).
Per determinare hc si fa ricorso al metodo dell'analisi dimensionale, la quale si fonda sul teorema di Buckingam.
Nel nostro caso si ha n = 9 e m = 5 per cui servono k = 4
parametri adimensionali e quelli comunemente usati nella conone termica
sono: il numero di Nusselt Nu =
;
il numero di Reynolds
Re =
;
il numero di Prandtl Pr =
;
e il numero di Grashof Gr =
;
e la relazione che esprime la conone è Nu = f (Pr;Re;Gr)
o meglio Nu = k Pra Reb Grg dove k;a b g sono ricavati
sperimentalmente.
Ma vediamo il significato di questi parametri: il numero di Nusselt esprime il rapporto tra il calore scambiato per conone e quello scambiato per conduttività termica (proporzionale a l /l); i numero di Prandtl invece correla la trasmissione del calore al moto del fluido (tramite v) e se il fluido considerato è un gas esso ha valori molto piccoli e che variano di poco, quindi viene considerato costante.
Il numero di Reynolds caratterizza il moto dei fluidi infatti per Re< 2000 il moto è laminare e per Re> 2000 è turbolento e quindi entra in gioco solo nella conone forzata. Il numero di Grashof tiene conto della forza di gravità ne sistema ed assume quindi particolare importanza nel caso della conone naturale; ma nel caso della conone forzata questa forza può essere trascurata rispetto alle altre forze mecccaniche che determinano il moto per cui essendo Re>>Gr quest'ultimo viene trascurato.
N°8 - IRRAGGIAMENTO
Ogni corpo che si trova ad una temperatura diversa dallo zero assoluto è una sorgente di energia raggiante; questa energia è sotto forma di calore quando la lunghezza d'onda è compresa tra 1000Å e alcuni Micron. La trasmissione di calore per irraggiamento si ha quando dei corpi a temperature diverse si trovano l'uno in presenza dell'altro separati a un mezzo trasparente alee radiazioni; ogni corpo si comporta da sorgente ma in parte assorbe anche le radiazioni emesse dagli altri corpi.
Appare quindi evidente che per dare una descrizione del fenomeno bisogna analizzare il comportamento dei corpi sia come sorgenti che come ricevitori.
I corpi si comportano in modo diverso rispetto all'emissione a seconda che siano allo stato aeriforme o condensato (solido-liquido); nel primo caso infatti lo spettro di emissione è di tipo discreto mentre nel secondo di tipo continuo; bisogna poi conoscere oltre alla potenza raggiante anche la sua distribuzione tra le varie lunghezze d'onda.
La potenza globale è definita tramite l'emittanza
globale J ovvero l'energia emessa per unità di superficie , mentre la
sua distribuzione è data attraverso l'emittenza monocromatica e definita come
rapporto fra quella parte della emittanza globale che viene emessa
nell'intervallo di lunghezze d'onda compreso tra l e l +dl e l'ampiezza dl dell'intervallo.
L'emittanza monocromatica dipende anche dal tempo cioè si ha e e l ;T); le due grandezze
sono legate tra loro dalla relazione J =
.
Per quanto riguarda il ricevimento dell'energia raggiante,
quando un fascio di radiazioni colpisce una superficie queste vengono in parte
riflesse, in parte assorbite e in parte trasmesse, cioè riescono ad
attraversare il corpo; se Wi è la potenza incidente, Wa
quella assorbita, Wr quella riflessa e Wt quella
trasmessa è possibile definire i tre coefficienti: coefficiente di
assorbimento a =
;
di riflessione r =
;
di trasparenza t =
;
e vale la relazione a + r + t = 1. I corpi per cui t = 0 sono detti opachi.
Alla base dello studio della trasmissione di calore per
irraggiamento c'è la relazione emittanza e assorbimento, la quale
è espressa tramite la legge di Kirchoff: il rapporto tra l'emittanza
monocromatica di un corpo e il suo coefficiente di assorbimento non dipende
dalla natura del corpo, ma solo dalla temperatura; cioè
=
e l ;T) dove e 0 è
l'emittanza di un corpo che ha per tutte le lunghezze d'onda a=1 e tali corpi
sono detti corpi neri.
Lo studio dei corpi neri è allora utile per capire come si comportano anche gli altri corpi; l'emittanza globale di un corpo nero J0 è data dalla legge di Stefan-Boltzmann J0 = s 0T4 dove s 0 è una costante; la distribuzione dell'emittanza monocromatica e 0 è data dalla legge di ck ed è massima per lunghezze d'onda l m = A/T con A costante (legge di Wien).
In base a queste considerazioni per un corpo non nero, noto il coefficiente di assorbimento, l'emittanza monocromatica può essere dedotta da quella di un corpo nero alla stessa temperatura, si definisce inoltre emissività spettrale il rapporto h e e 0 e emissività globale h = J/J0.
Particolarmente interessanti sono poi i corpi grigi, ovvero quei corpi in cui il coefficiente di assorbimento non dipende dalla lunghezza d'onda; ad essi sono in genere approssimati quasi tutti i corpi.
b) Espressione dei coefficienti a, r, t in funzione della costante di assorbimento
I coefficienti a, r, t, dipendono fortemente dallo spessore del corpodi cui sono caratteristico.
Si può dire infatti che il potere raggiante assorbito in uno strato di spessore dx è direttamente proporzionale allo spessore e alla potenza incidente: avremo dW = -a Wdx dove a è il coefficiente di proporzionalità; integrando otterrò lnW = -a x + c1 e ponendo W(0) = W0 si ha W = W0e-a x e a è detta costante di assorbimento dipendente dal materiale.
La legge ci dice che un materiale opaco può essere trasparente se ne prendiamo un piccolo spessore.
Poiché W0 = Wi - Wr abbiamo per x = s

N°9 - IRRAGGIAMENTO
Tramite esperimenti condotti ad alta quota è stato possibile determinare la distribuzione spettrale dell'energia solare.
L'andamento di tale spettro è dato da una funzione e l ) che ha il massimo per l = 0,46 e tramite la legge di Wein possiamo quindi dire che la temperatura del Sole è di circa 6000K.
Nel campo di lunghezza d'onda 0,3-0,6 si nota la presenza di righe di assorbimento durante il passaggio dell'energia solare attraverso l'atmosfera.
In assenza di tali righe in massimo sarebbe spostato verso destra per cui la temperatura effettiva è di 5800K. Le zone laterali dello spettro corrispondono alla radiazione ultravioletto e infrarosso.
Le radiazione ultraviolette sono quasi totalmente assorbite dall'atmosfera e solo il 20 % arriva alla superficie terrestre.
Il massimo della radiazione solare varia anche al varare delle masse d'aria attraversate e più precisamente si ha uno spostamento del massimo verso l'infrarosso.
N°10 - IRRAGGIAMENTO
Si definiscono corpi grigi quei corpi per i quali il coefficiente di assorbimento a è indipendente dalla lunghezza d'onda.
La legge di emissione del corpo grigio si ricava da quella del corpo nero tramite il principio di Kirckoff che lega lo spettro di emissione di un corpo con quello di assorbimento: si ha
e grigio l ;T) = age l ;T)
per cui J =
=
=
J0
=
s 0T4
che ci da l'energia radiante emessa da un corpo grigio; poiché e g = age l'andamento dello spettro delle radiazioni sarà analogo a quello del corpo nero e in più si avrà che i due spettri persentano massimo nello stesso punto.
I corpi selettivi sono invece quelli per cui la maggioranza delle radiazioni emesse avviene per i valori piccoli della lunghezza d'onda nel corpo del visibile.
Possiamo classificare i corpi selettivi con l'emissività spettrale h l e e 0 definita come il rapporto tra l'emittenza monocromatica del corpo e quella di un corpo nero che emette alla stessa temperatura.
Esempi di corpi non esistono in natura; approssimativamente si può dire she si comportano da corpi grigi i non metalli.
Un esempio di corpi selettivi sono invece i metalli (per es. Tungsteno: ecco perché viene impiegato nelle lampade).
|
Privacy
|
© ePerTutti.com : tutti i diritti riservati
:::::
Condizioni Generali - Invia - Contatta